Stirling Engine




I fabricated parts and assembled a miniature Stirling engine. It is machined from stock of brass, steel, and aluminum and it is powered by a small bottle of denatured alcohol.

I also designed parts for the engine using Pro/Engineer.




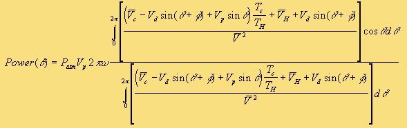
I completed different analyses of the engine, such as calculating the power output of the engine, given by the following integral:

.


Using matlab, this numerically evaluates out to a fraction of a Watt, which agreed with our experiments.